上海仪表价格联盟

靶式流量计的分类及应用

只看楼主 收藏 回复
  • - -
楼主
测温仪


靶式流量计最早出现于20世纪60年代, 最初主要用于解决高粘度、低雷诺数流体的流量测量问题。我国于70年代开始开发该种仪表, 由于受当时技术水平的限制, 主要有气动靶式流量计和矢量机构电动靶式流量计两种类型。


因为品种单一、调试繁琐、密封不可靠、抗干扰能力差等原因, 致使靶式流量计在80年代至90年代初几乎退出市场。随着电子技术的飞速发展及新型传感器技术的涌现, 靶式流量计在测量精度、抗干扰性、密封可靠性、校验调试等方面都有很大进步, 重新获得了市场认可, 成为流量测量的常用设备。


1. 靶式流量计测量原理


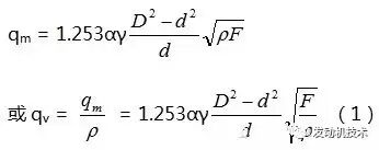
在恒定截面的圆筒形直管段的截面中心与流束垂直的方向设置一个称为靶的圆板,流体沿靶周围流过时, 靶受到推力的作用, 力的大小与流体的动能和靶的面积成正比。当管道的雷诺数大于流量计的界限雷诺数时, 流量与靶受到的力有确定的数值对应关系。可用式(1)进行计算:



式中: qm----质量流量,单位kg/s;

qv----体积流量, m3 /s;

α----流量系数(常数);

γ----流束膨胀系数(常数),对于不可压缩性流体γ=1,对于可压缩性流体γ<1;

D----管道内径,单位m;

d-----靶片直径,单位m;

ρ-----流体密度, kg/m3;

F-----靶片受到的力,单位N。


2. 靶式流量计的分类


靶式流量计的关键技术是力的转换方式, 即传感器的结构形式。经过几十年的发展进步, 其类型已多种多样。不同的生产厂商有不同分类方法, 目前尚无统一标准规定。为便于描述和统一认识从两个方面对靶式流量计按结构和信号转换形式进行了分类, 如图1所示。



按结构形式分为:轴封膜片结构型;挠性管结构型;扭力管结构型和差压靶结构型。按信号转换形式分为:力-气压转换型, 称为气动靶式流量计;力-位移-电压转换型、力-应变-电压转换型、力-扭距-电压转换型, 此三种转换形式都称为电动靶式流量计;另外还有力-差压转换型, 称为差压靶式流量计。无论何种结构形式, 靶式流量计都由力产生装置(靶片和测量管)、力转换装置和信号处理单元(包括显示部分)三大部分组成。


3. 轴封膜片气动靶式流量计


轴封膜片气动式流量计是一种力-气压转换型的流量计, 结构如图2所示, 其工作过程是:杠杆在靶力的作用下绕轴封膜片转动, 改变喷嘴的出气间隙, 从而改变气动放大单元的输入压力, 最终改变输出压力,使输出压力随着靶力的变化而变化。调试时, 通过零点调整机构来调整喷嘴的初始位置, 以设定零点;通过改变满量程调整机构的位置来调整喷嘴的出气间隙,也可以通过改变靶片的大小, 使不同的流量产生相同的靶力来调整满量程。



该结构流量计出现得较早, 但现在已很少使用。其原因是:由于结构上的问题, 导致该流量计的零点稳定性较差、灵敏度低、量程范围窄、耐压能力低、调试繁琐, 而且安装现场必须提供标准气源, 相关设备投入大、维护成本高。但在一些特殊的地方, 如防爆要求严格、老设备改造等场合还经常可以见到该类型流量计。


4. 轴封膜片位移靶式流量计


轴封膜片位移靶式流量计是一种力-位移-电压转换型的流量计, 其结构如图3所示。其工作过程是:杠杆在靶力的作用下绕轴封膜片转动, 通过矢量机构带动差动变压器中的铁芯移动, 改变差动变压器的输出电压, 该电压送电器单元处理后, 输出与流量相关的电流信号。调试时, 通过零点调整机构, 设定铁芯的初始位值, 以设定零点;通过满量程调整机构改变矢量机构的角度, 来设定靶力达到最大时铁芯的移动距离;也可以通过改变靶片的大小, 使不同的流量产生相同的靶力来设定满量程。



上述结构是靶式流量计在七八十年代的主要结构形式, 而到90年代初期已基本不生产。由于结构复杂、调试极其困难、稳定性很差、易受到振动干扰, 测量精度和灵敏度低、量程范围窄、耐压能力低, 一度导致靶式流量计的市场萎缩殆尽。至今仍有人对靶式流量计抱有不良印象, 就是这种结构造成的。


5. 轴封膜片应变靶式流量计


轴封膜片应变靶式流量计是一种力-应变-电压转换类型的流量计, 其结构如图4所示。其工作过程是:靶力通过杠杆(轴封膜片为支点)传递到弹性体,对弹性体产生弯矩作用, 引起弹性体弯曲变形, 导致由四个应变计组成的电桥失去平衡, 产生输出, 该输出经电器单元处理, 输出与流量相关的电流信号。调试时, 只需调整电器单元的两个电位器, 就可以完成零点和满量程的设置。此外,该结构需另设静压调整装置,以消除静压漂移。



上述结构是90年代中期发展起来的, 在力的转换方式上已经完全摒弃了以往机械的模式, 它采用的是以电子技术为基础、以应变测量为手段的测力方式, 测量精度大为提高。由于电子技术的广泛使用, 使流量计的结构大为简化, 可靠性提高,调试简单, 制造成本和维护费用明显降低, 使一度萎靡的靶式流量计市场重现生机。


6. 挠性管靶式流量计


挠性管靶式流量计也是一种力-应变-电压转换型的流量计, 其结构如图5所示。其工作过程是:靶力通过杠杆传递到挠性管上, 对挠性管产生弯矩作用, 引起挠性管弯曲变形, 导致由四个应变计组成的电桥失去平衡, 产生输出, 该输出经电器单元处理, 输出与流量相关的电流信号。其调试方式与轴封膜片应变靶式流量计基本相同, 只需调整电器单元的两个电位器来完成零点和满量程的设置,但不需要静压调整装置。



该结构是轴封膜片应变靶式流量计的改进型, 它将前者的弹性体和轴封膜片设计成一体, 使机构更为简化。挠性管结构的显著优势是提高了流量计的耐压性能和密封可靠性, 使耐压能力达到25 MPa以上。中间环节的减少, 消除了力的传递误差, 提高了测量精度。不足之处是对应变计的耐温性能要求有所提高,应变计的粘接工艺要求更严格。现在市场上的靶式流量计大多是这种结构。


7. 扭力管靶式流量计


扭力管靶式流量计也是一种力-应变-电压转换型的流量计, 其结构如图6所示。其工作过程是:靶力通过杠杆传递到扭力管上, 对扭力管产生扭矩作用,引起扭力管扭转变形, 导致由四个扭矩应变计组成的电桥失去平衡,产生输出, 该输出经电器单元处理, 输出与流量相关的电流信号。其调试方式与挠性管靶式流量计完全相同,只需调整电器单元的两个电位器来完成零点和满量程的设置,同样不需要静压调整装置。



该结构是最近的全新结构, 其开发目的是解决微小流量、宽量程比、高温和高压的测量要求。根据类似结构的使用经验, 其所测靶力可在0.1 N到几百N范围, 耐压能力可达到42 MPa以上。


8. 差压靶式流量计


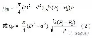
差压靶式流量计的测量原理与其他靶式流量计的测量原理有较大区别, 它是通过测量靶片上下游的压力差来测量流体流量的。其计算公式如下:



式中:P1 ----差压膜盒(靶片)上游的压力,单位Pa;

P2 ----差压膜盒(靶片)下游的压力,单位Pa;

d----差压膜盒(靶片)直径,单位m;

D----测量管直径,单位m。


从计算公式的推导过程和公式的形式上可以看出:差压靶式流量计兼有节流装置(差压原理)和靶式流量计(测力)的数学特征。研究和试验表明:靶片上所受到的力包括流体流动对靶的作用力、流体在靶片上下游流速变化形成的差压作用于靶上的力及流体与靶之间的摩擦力。


在差压靶流量计研究推导过程中, 前两项都给出了明确的计算公式, 因此,式(2)比式(1)包含了更多的影响因素, 计算结果也更精确。差压靶式流量计的结构如图7所示。其工作过程是:流体流经差压膜盒(靶片)时, 对差压膜盒施以差压作用, 该差压传递给电器单元进行处理, 输出与流量相关的电流信号。该流量计不需要任何调整, 可直接投入使用。



差压靶式流量计是一种全新概念的流量测量仪表, 它综合了节流装置和靶式流量计的优点, 克服了各自的缺点, 具有理论清晰、结构简单、安装维修方便、测量精度高、性能可靠等优点, 必将为流量测量行业提供更好的服务。


靶式流量计一般应用在以下场所:


所测流体必须是牛顿流体;


流体必须充满流量计的测量管;


流体在物理上和热力学上应是均匀的, 并可知道测量条件下的密度和粘度;


流体流经流量计时不发生相变, 如要确定是否有相变, 在进行流量计算时, 对气体则可假定是等熵过程,对液体则可假定是等温过程,流速应是恒定的, 或者只随时间做轻微而缓慢的变化;


管道雷诺数应大于2 000(不同的制造商可能有不同的界限要求)。




举报 | 1楼 回复

友情链接