上海仪表价格联盟

流量计量准确性对海上气田生产管理的影响

只看楼主 收藏 回复
  • - -
楼主
点击上面直接关注关注--流量计 更多精彩内容,每日准时更新。

咨询电话:400-0592-364


流量计量准确性对海上气田生产管理的影响

  

摘 要:DF121气田单井产量及天然气组分存在较大差异,而下游用户气量需求变化也较为频繁,且对供气组分稳定性有较为严格的要求。在分析DF121气田各节点原有流量计量设备和配产模式存在问题的基础上,对4个平台的单井测试流量计进行了改造,建立了流量计量结果检验模板和气田新的产量分配模式,并用实际生产数据进行了验证。结果表明:新配产模式和新模板显著地提高了单井产量计量与气田单井配产的准确性,可指导海上复杂组分天然气田实现快速、准确的产量调配。

关键字:DF121气田 孔板流量计 流量测量 配产 生产管理



    位于我国南海的DF11气田有4个生产平台(D、E、A、B)共28口生产井(1口大斜度井和27口水平井),气田设计产量规模为27×108m3/a。气田不同气组、不同区块单井的产能和天然气组分都存在较大差异,各井无阻流量为(10~570)104m3/d。非烃组分主要为CO2和N2,各井纯烃摩尔百分含量为23%~83%,CO2含量为0.3%~73%,N2含量为4%~35%,且CO2和N2含量存在此高彼低的规律,各井产出天然气相对密度为0.64~1.28。气田投产3a多来,除一口井产出天然气组分在缓慢发生改变外,其余生产井天然气组分基本稳定。

    图1为气田生产处理及天然气流量计量流程示意图。图中D平台为气田中心处理平台,其余3个井口平台(E、A和B)生产的天然气集中在D平台脱水处理后,经海底管线输送到陆上终端处理厂,在处理厂,大部分天然气直接输送到化工用户,其余天然气经脱CO2流程处理后,供给燃料用户。气田各主要节点均设有孔板流量计,监测、记录各节点的瞬时流量或累积产量(图1中的M1~M11)。气田平台和终端都配有在线和离线色谱组分分析仪器,可随时对各节点的天然气组分进行实时在线监测分析。

    气田日常生产操作的核心是保持气田外输混合天然气产量和组分稳定,难点是当下游用气量发生变化时,如何快速、合理地调整单井配产,在调整外输气量的同时维持外输混合天然气组分的稳定。

    如果气田各节点孔板流量计,特别是各平台测试流量计(M5、M7、M9和M11)计量精度足够高,则可以通过对各单井进行变工作制度(油嘴尺寸)产量计量确立各生产井配产模型,进而建立气田各平台及单井的天然气产量和组分计算模板,利用此模板即可模拟预测不同单井工作制度对应的气田外输天然气产量和组分的变化,指导气田在各种情况下对外输天然气产量和组分进行快速、准确的调配。

    一、产量计量误差对生产管理的影响

    自气田投产以来,气田各平台及单井的产量分配模式见图2。过程如下:

    (1)气田陆上终端用于贸易交接计量的流量计M1和M3经过国家法定单位定期检定,误差小,而气田外输总流量计M2非标准孔板流量计,且未考虑流体物性对流量的影响,误差大。因此,以终端接收气量(包括销售气量及燃烧、放空气量)来标定气田外输流量计计量值,以此作为气田的总产量值。

    (2)再根据各平台总流量计M4、M6、M8和M10计量的值,将标定后的气田外输总产量按比例分配给各平台,作为各平台总产量值。

    (3)对于单井,通过用测试分离器流量计M5、M7、M9和M11进行变油嘴尺寸下的产量计量,建立各井油嘴、井口压力和产量关系模型(单井配产模型),根据各井的井口压力或油嘴开度,采用配产模型计算各井的理论产量值。最后将平台总产量根据各井理论产量值按比例分配到各井。

    上述方法配产结果的准确性主要取决于气田各节点孔板流量计(特别是各平台测试分离器流量计)的准确度。

    DF11气田生产系统压力、压力差和温度都不高(流程压力小于8MPa、油嘴后生产流程的压力差小于1MPa、流程温度小于70℃),油、水产量低,流程中气、液间的相态转化可以忽略[12]因此,配产结果的正确与否,可以通过对比各节点(根据计量结果配产后)计算的混合天然气组分与实测混合天然气组分的差异进行检验。若差异大,即表明节点流量计计量结果存在较大相对误差(不同组分流体误差不一致);若差异小,说明节点流量计计量结果相对误差小。称此过程为产量分配结果的组分校验。

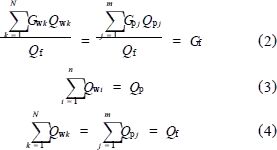
    如果各平台产量(Qp)分配(比例)正确,则各平台混合气组分(Gp)经Qp加权计算后的气组分应该与实测的气田外输混合气组分(Gf)基本一致;如果各单井产量(Qw)分配(比例)正确,则不仅各平台单井组分(Gw)经Qw加权计算后的混合气组分应该与实测的该平台Gp基本一致,而且气田所有单井组分经产量加权计算后的气组分也应该与Gi基本一致。相关校验过程见公式(1)~(4)。

    式中:Gw为单井天然气组分(纯烃、CO2或N2)的摩尔百分含量;Gp为分平台混合天然气组分(纯烃、CO2或N2)的摩尔百分含量;Gf为气田总的外输混合天然气组分(纯烃、CO2或N2)的摩尔百分含量;Qw为单井分配产量;Qp为分平台分配产量;Qf为气田外输总产量(标定后);n为某平台井数;N为气田总井数;m为气田平台数。

    图3为DF11气田投产以来单井产量分配后的组分校验结果对比曲线,可以看出,气田各单井配产后加权计算的混合天然气组分与气田实测外输混合天然气组分相比,CO2含量和纯烃含量差距平均在±2%以上,且基本上都是计算的混合天然气CO2含量偏高,纯烃含量偏低。这说明流量计计量的高含CO2井的产量值明显偏大。

    各平台和单井产量分配的准确性不够,不仅影响了气藏动态资料的准确性,也影响了气田产量和组分配产计划的准确性。由于配产结果可参考性差,在日常生产中,当需要调整外输天然气产量,或者需要调整某口生产井的工作制度时(例如需对某井进行系统试井时),为了同时保持外输天然气组分的稳定,现场操作人员只能缓慢地同时调整几口井的工作制度,逐步地实现调产目的,一次调产过程往往需要30~60min,使得调产时间长、风险大、计划性差。

    二、DF11气田原有流量计量设备存在的问题

    DF11气田各节点孔板流量计(见图1)按准确度要求高低可分为3类。第一类流量计为终端贸易交接流量计M1和M3,属标准孔板流量计,经过国家法定机构鉴定合格,准确度高;第二类流量计为分别D、E、A和B等4个平台的测试分离器气相流量计M5、M7、M9和M11,用于定期、轮换计量单井的气产量,要求有较高的准确度;第三类流量计分别为气田外输天然气总流量计和各平台天然气总流量计M2、M4、M6、M8和M10,都用于实时监测的过程计量,准确度要求不高。在气田工程设计、安装时,假定气田各节点流量变化不大、天然气组分基本一致,因此,气田第二类和第三类流量计孔板尺寸都固定不可更换,而计量模块也为固化的,无法根据实际计量流体物性的差异改变流量计算参数。其设计的计量流体相对密度约0.70。

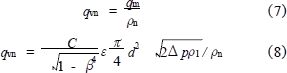
    根据国标SY/T61432004,孔板计量天然气质量流量计算基本公式如下[3]

    天然气在标准条件下(20℃,1个标准大气压下)的体积流量计算基本公式为:

    上述公式中的C、β、ε、d和Δp等参数主要与计量工况及计量设施有关,流体性质对它们的影响较小,而Z1、Zn、ρ1和ρn为计量流体的物性参数,它们直接决定着孔板流量计的计量结果。对于这种固定流体物性参数的流量计,在实际使用中,若计量流体的相对密度大于0.7,这种流量计实测流量值将偏大;若相对密度小于0.7,实测流量值将偏小。

    以DF11气田产出天然气组分存在差异的几口井为例,假设各井测量工况下除流体物性参数不同外,其余计量工况及设施参数都一致(D=202.64mm,d=76.15mm,p1=7.24MPa,Δp=28.8kPa,T=49℃),计算的各井流量值见表1。从表1中可看出,由于设计为固定流体物性参数的模式,对气田不同天然气组分的生产井来说,流量计的计量值相对误差最大可达25%。

    气田一期开发的D、E平台多数为高含CO2生产井,将造成多数井测试产量偏高。由此可以预测,根据这种流量计的计量结果进行单井配产,配比出的混合天然气CO2含量必然比实际值高,而纯烃含量必然比实际值低。

    另外,对应的孔板直径只能保证对应流量范围的精度,流量超出此范围,误差必然增大。气田单井产能差异大,都采用同样的孔板进行产量计量,误差大小必然不一样。

    因此,为了确保气田配产结果的准确性,以便指导现场的产量和组分调配工作,必须对气田各节点孔板流量计进行改造。

    三、对测试流量计进行改造,建立流量计量结果检验模板

    从组分校验过程可以看出,各平台测试流量计是影响单井配产准确性的关键设备。若对M5、M7、M9和M11等测试流量计进行改造,降低单井产量计量的相对误差,即使M2、M4、M6、M8和M10的计量值相对误差大,也可以通过终端贸易交接流量计计量结果的校核,确保气田各单井及各平台产量分配(配产)的准确性。另一方面,M2、M4、M6、M8和M10等总流量计的计量工况与相关计量标准相比存在较大差距,改造难度也大。

    为此,生产部门于2005年提出将4个平台的单井产量测试流量计改造成可输入流体组分及物性参数、可更换孔板的流量计(丹尼尔孔板流量计),全部改造和调试工作于2006年6月完成。

    笔者根据SY/T61432004及其附录[3]编写了流量计算程序作为单井产量计量结果的检验模板,该程序同时集成了天然气物性参数及热值计算、在线压缩因子计算等模块,可同时计算出天然气质量流量、体积流量和能量流量。测试流量计计算模块显示流量值与流量计算程序的计算结果吻合较好,偏差在2%以内。现场操作人员可利用该程序对测试流量计的计量结果进行检验,避免测试时由于数据录入或仪表信号等原因给计量结果带来误差。

    用新测试流量计对所有生产井重新进行变油嘴产量计量后发现,高含CO2井计量产量比原流量计计量值明显变小,而高含烃井产量则变化不大,见图4。这一结果与前述分析相吻合。

    四、新配产模式的建立

    各平台单井测试流量计改造后,气田单井产量计量的准确度得到提高。而各平台总流量计仍然未改造,存在较大误差。通过分析研究,建立了气田新的产量分配模式,归纳为:以测试流量计计量的单井产量建立单井配产模型,进而确定气田各节点(单井及各平台)天然气产量,以终端接收天然气量核定气田各节点的最终分配产量。

    一方面,将单井配产模型、各节点产量分配模式、以及各节点产量分配结果的组分校验过程编程,植入开发生产数据库,实现了生产数据的入库、准确配产及其配产结果的校验。另一方面,以EXCEL表格形式将单井配产模型、分配模式和校验过程直接嵌入到气田生产日报模板中。在日报中录入当日各单井油嘴尺寸、井口压力、温度、生产时间、标定后的气田外输产量等参数,模板即可自动给各单井和各平台配产,并对配产结果进行组分验证。

    五、应用效果

    新的配产模式已在气田现场生产和气藏动态管理方面使用了近一年时间,从组分校验结果看,采用新的配产模式后,计算的气田外输混合天然气组分与实测混合气组分之间的差异明显变小,平均小于0.5%,见图5。各平台计算与实测混合天然气组分也吻合较好,偏差在1%以内。证明单井测试流量计经改造后,计量结果的准确度得到明显提高,配产方法的改进不仅提高了气田配产结果的准确性,建立了配产结果的校验方法,还避免了气田各平台总流量计的缺陷对气田生产管理造成的影响。

    在一定时期内、气田系统和管汇压力变化不大的情况下,只需在新的日报模板中人为改变单井工作制度,即可较为准确地模拟预测气田外输天然气产量和组分。因此,该模板可以用于指导气田现场人员进行快速、准确的天然气产量和组分调配。气田调产时间从原来的30~60min缩短至5~10min。

    六、结论

    (1)DF121气田原有产量分配结果存在较大误差的主要原因是原有测试流量计误差大,配产模式不合理。

    (2)根据孔板流量计测量天然气流量计算的基本公式(行标SY/T614322004),在认真分析导致原有测试流量计误差较大的技术原因的基础上,对气田4个平台的单井产量测试流量计进行了改造,编写了孔板流量计计算程序,改造后可根据产量大小合理选择丹尼尔孔板,同时还可以将实测流体组分及物性参数输入流量计算软件中,实现了对新测试流量计计量结果的检验。

    (3)改进了气田配产模式,避免了各平台总流量计存在的误差对气田配产结果造成影响。建立了新的产量分配模板及相应的配产结果的组分校验模板,显著地提高了气田产量分配结果的准确性,明显地缩短了气田调产时间,减小了调产风险,极大地方便了气田的生产管理。

    参考文献

    [1]李士伦。天然气工程[M]。北京:石油工业出版社,2003。
    [2]何更生。油层物理[M]。北京:石油工业出版社,1991。
    。SY/T614322004用标准孔板流量计测量天然气流量[S]。北京:中国标准出版社,2004。

厦门宏控仪表专业生产质量流量计、靶式流量计、涡街流量计、电磁流量计、罗茨流量计、涡轮流量计、金属转子流量计、超声波流量计、热量表、差压式流量计等各种流量仪表的生产与销售。欢迎来电咨询400-0592-364

如需下载流量计选型样本请到官方网站下载
厦门宏控官方网站:www.homkom.com www.homkom.cn


<如果觉得这篇文章不错,点击右上方分享到“朋友圈”。厦门宏控仪表,分享专业的流量计知识!>

即刻加入我们:

1、点击文章顶端的:流量计 公众账号/点击关注

2、在微信添加朋友/查找微信公众账号中输入:liuliangji8



举报 | 1楼 回复

友情链接