上海仪表价格联盟

【技巧】孔板差压式流量计测量水蒸汽误差分析

只看楼主 收藏 回复
  • - -
楼主

孔板差压式流量计测量水蒸汽误差分析

  

摘 要:介绍孔板差压式流量计测量水蒸汽的工作原理,对导致孔板差压式流量计产生测量误差的各种内、外因素进行分析,并阐述相应的校正补偿方法,为今后孔板差压式流量计的设计和使用提供借鉴。

关键字:孔板;差压式流量计;测量;水蒸汽;误差



    0 引言

    目前,国内外用于水蒸汽流量测量的仪表主要包括:孔板流量计、涡街流量计、转子流量计和弯管流量计等仪表。其中,孔板差压式流量计是国内外最早得以研究、试验数据最为完善、实践经验最为丰富、标准化程度最高的流量计,因其结构简单、制造成本较低、性能比较稳定、使用寿命较长,且已标准化,因而在工业上得到了最广泛的应用。孔板流量计由节流装置、一定长度的直管段、引压管、差压变送器、压力变送器、温度变送器和流量积算仪等组成,在使用过程中,尽可能地减小流量测量误差,降低水蒸汽损耗,对企业的生产经营具有重要的意义。

    1 孔板工作原理及误差补偿方法

    1.1 孔板式流量计的工作原理

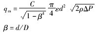
    孔板式流量计采用差压式测量方法对流量进行测量,即在管道内装入节流元件—孔板。当水蒸气流过孔板时,流体速度增大,压力减小,于是在孔板的前后产生差压,具有一定设计尺寸的孔板测量水蒸气流量,在保证孔板前后有足够的直管段等条件下,孔板前后的差压将随流量的变化而变化,且二者具有确定的关系,因此可以通过测量差压得到水蒸气的流量。根据国标GB/T2624-93,对于标准节流装置,差压ΔP与流量qm的函数关系为:

    

    式中,qm为质量流量,kg/s;C为流出系数;D为管道内径,m;ε为节流件正端取压口平面上的气体膨胀系数;d为工作条件下节流件的开孔直径,m;ρ为节流件入口端流体密度,kg/m3

    1.2 流出系数C的补偿

    流出系数C是表征孔板节流装置特性的主要参数,是雷诺数Re和β的函数,它是一个随流量变化的量,其值随Re的增大而减小,当Re大于一定值趋向无穷大时,C趋向于常数CK,而孔径比β越大,C的变化幅度也越大,使C趋向于常数CK的Re也越大,C 与β和Re之间的定量关系为[1]:

    

    对于给定的标准孔板,当β为常数时,C仅是Re的函数C=f(Re),在式(1)中,将C用式(2)而不是一个常数来代替,可提高计量的精度。

    1.3 水蒸气膨胀系数ε的补偿

    差压式流量计在用来测气体和蒸汽流量时,流体流过节流装置在节流件两边都要产生一定的差压,在节流件的下游静压降低,因而出现流束膨胀,流束的这种膨胀使得节流装置的输出(差压)- 输入(流量)关系产生同不可压缩流体之间的偏差,如果不对这种偏差进行校正,将会导致流量示值偏高千分之几到百分之几,尤其是流量在较大范围内变化时,产生的误差会更大,更有必要对其进行修正。

    1.4 孔板流量计变更量程后的修正

    尽管改变差压变送器的差压范围是非常容易的事,但不能只对差压范围做调整就万事大吉。这是因为孔板流量计量程变更后,管道中的常用流速等参数发生变化,流出系数也相应有所变化,因此需从已知节流装置数据(从节流装置计算书查得)和其他有关流量数据(如:变更后的流量上限、常用流量)计算出新的差压上限。实践证明,若量程缩小后,C和ε均增大,相应的质量流量会偏大。

    1.5 密度ρ的补偿

    在其他参数不变的情况下,qm与ρ之间的关系为:

    

    可以看出,水蒸气的流量与其密度的平方根成正比关系。水蒸气是可压缩性气体,当其压力、温度变化时,其密度将发生明显变化,这将引起流量很大的误差。因实际流体状态(压力、温度)与流量计设计时的状态( 压力、温度)偏离造成的相对误差可由下式表示:

    

    假如设计孔板流量计时是按照1MPa,285℃所对应的过热水蒸气密度ρ=4.374kg/m3设计的,则密度的变化造成的测量误差可能很大,压力大,温度低时,测量值偏大;压力低,温度高时,测量值偏小。水蒸气的实际状态偏离孔板实际状态越严重,所引起的误差越大。要补偿密度变化所引起的这种误差,就不能将式(1)中的ρ以设计工况下的密度来代入,需要将ρ看作压力和温度的函数,即ρ=f(P,t)。这也就是一般智能流量积算仪均要对过热蒸汽进行压力温度补偿的原因。

    1.6 孔板内径d和管径D的误差补偿

    测量水蒸气流量时,如果设计工况为200℃,孔板内径为d,则孔板内径在实际工作状态下的修正公式为:


    式中,λ为孔板材料的线膨胀系数,1/℃。在其他参数不变的情况下,qm与d的关系为:

    qm=kd2

    式中,k为一常数,则qm的相对误差为:

    

    若孔板材料为1Cr18Ni9Ti,孔板工作的温度范围为(200±10)℃,将式(4)代入式(5)中得:

    

    实际上d和D偏离设计值造成的后果就是流量测量系统的满度值发生了变化,如果将d和D的实际值测量出来,代入公式计算出与此实际值相对应的流量满度值,然后用新的满度值代替原设计值,置入流量显示仪表,则系统运行后,尺寸误差对测量系统的影响就能得到完全的校正,这也就是每台流量计在投入使用前进行修正计算的主要工作。

    2 常见误差原因分析

    2.1 实际工作状态引起的误差

    标准孔板是按照特定的已知条件进行设计的,但在工作过程中,被测量介质的各种参数(如温度、密度、压力、粘度等)与标准孔板的额定数值有所不同。如在常温附近时,若被测量介质为蒸汽,温度每变化10℃,蒸汽的密度则变化3%左右;在1个大气压下,被测蒸汽压力每变化10Pa,密度则变化10%左右。所以在用标准孔板测量蒸汽时,必须考虑蒸汽温度和压力的变化,进行适当的修正。

    2.2 安装不正确引起的误差

    对于标准孔板,为了保证被测量介质流量的准确测量,标准孔板一定要按规定要求进行正确安装,否则将会产生一定的测量误差。

    (1)孔板的锐面应迎着流体的方向,以确保孔板的方向安装正确。
    (2)孔板的前端面与管段轴线应保证垂直,最大倾斜度应小于1º。
    (3)若工作环境的测量精度要求较高,为了提高测量的准确度,建议标准孔板前后的直管段尽量采用标准直管段,然后再与主管道联接。
    (4)新安装的管道在安装孔板前,应对管道进行冲洗和扫线操作,从而避免扫线时损伤孔板的锐面,管道内的杂物在孔板前后堆积,也会降低测量的准确度。
    (5)孔板在使用过程中,由于受被测量介质温度的影响,其自身会产生线膨胀,为了保证其端面的平面度和对轴线垂直度,在安装过程中,要考虑其工作过程时的自由伸缩性。
    (6)孔板的密封垫片不能伸入管道中,应尽量薄,一般厚度应小于0.03D。

    2.3 孔板入口边缘磨损引起的误差

    标准孔板在使用过程中,被测量介质对孔板的冲刷腐蚀,往往会造成测量装置的几何形状和尺寸产生不同程度的变化。长期使用后,孔板边缘的锐角会变钝,在相同体积的被测量介质经过时所产生的压差ΔP将变小,标准孔板的示值会偏低,从而引起测量误差,为了保证测量的准确度,应定期对孔板进行校验、清洗,以减小对孔板的冲蚀和污物堆积。

    2.4 引压管路安装不当引起的测量误差

    引压管路应垂直或倾斜安装,其倾斜度应大于1:12,在引压管路的安装过程中,应保证弯曲处圆滑过渡,弯曲半径应大于引压管外径的5倍,在测量不同的介质时,引压管的长度和内径要符合安装规定的要求。

    2.5 引压管路堵塞引起的测量误差

    标准孔板在使用过程中,要保证其引压管畅通,避免堵塞,放空阀、三阀组、腰式法兰、连接件的密封性能应保证处于良好状态,不能有泄漏。为了减少此类误差,平时应加强管理,提高操作人员的素质,在使用过程中,操作人员应做好系统的
检修、维护、保养工作,延长其使用寿命,从而减小测量误差的产生。

    3 结束语

    使用孔板差压式流量计测量水蒸汽的流量涉及一系列的问题,包括检测装置、显示装置、前后直管段、辅助设备等,要保证水蒸汽流量测量的精确度,必须做到合理选型,正确安装与调试,及时维护与保养,并对测量部分可能引入的误差进行适当的补偿和校正。因为在使用过程中,当流量、压力波动较大时,从流量系数、流束膨胀系数引入的系统误差较大,另外孔板长期运行后锐角会变钝、几何尺寸会发生变化,系统的测量精度就会下降,有时甚至无法进行正常测量,所以平时应加强管理,尽量减小测量误差的产生。

    参考文献:

    [1] 韩玉莲 降低水蒸气流量测量误差的应用方法研究 [J]山西建筑,2006,32(16):147-148

本信息来自流量计


举报 | 1楼 回复

友情链接